新闻
职教新闻
正文
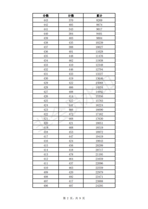
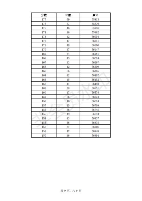
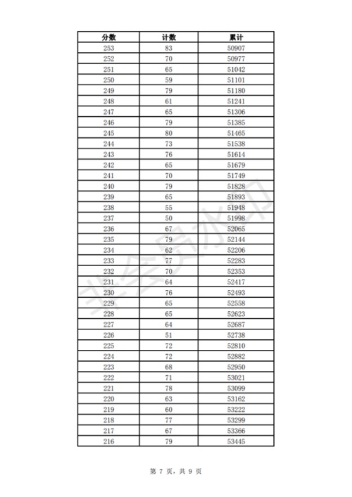
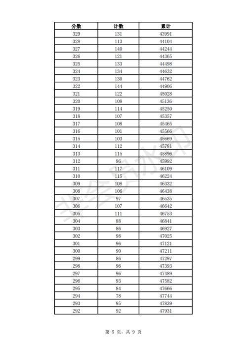
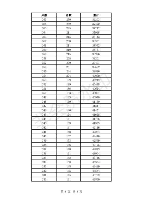
2019山东济南中考成绩一分一段表 中考成绩排名
2019
年山东济南中考成绩一分一段表公布了,具体内容如下所示:
2019
山东济南中考成绩一分一段表
2019-07-11 10:08
职教新闻
网友评论
文明上网 客观留言 严禁造谣
推荐资讯
教育部等七部门关于加强中小学科技教育的意见
0
教育部办公厅关于进一步减轻中小学教师非教育教学负担若干措施的通知
0
关于公布2025年河北省成人高考考生成绩的公告
0
教育部等六部门关于加强新时代高校青年教师队伍建设的指导意见
0
教育部办公厅关于做好2026年普通高等学校部分特殊类型招生工作的通知
0
教育部办公厅关于印发《进一步加强中小学生心理健康工作十条措施》的通知
0
教育部办公厅 财政部办公厅关于做好2025年“三区”人才支持计划教师专项计划有关实施工作的通知
0
教育部办公厅关于2025年度教育部大中小学课程教材研究项目立项的通知
0
新闻分类
我的
订单
微博
分享
发贴